Νέα δεδομένα για περίπου 800.000 δικαιούχους του επιδόματος παιδιού, καθώς θα είναι ενισχυμένα με ενάμιση επιπλέον δώρο
* Με 2 παιδιά, από 196€ ως 490€
* Με 3 παιδιά, από 392€ ως 980€
* Με 4 παιδιά, από 588€ ως 1.470€
Δικαιούχοι θα είναι όσοι έχουν υποβάλλει την αίτηση Α21 για το 2023 όπου έχουν δηλώσει τον αριθμό των τέκνων που έχουν ως προστατευόμενα μέλη στη δήλωση φορολογίας εισοδήματος έτους 2022.
Απαραίτητη προϋπόθεση δε, για την πληρωμή είναι (πέραν του Α21) να έχει γίνει και η εκκαθάριση της φορολογικής δήλωσης.
Η έξτρα ενίσχυση που θα δοθεί για το επίδομα τέκνων εντάσσεται όπως γράφει το dapital, στο συνολικό πακέτο μέτρων ύψους 352 εκατ. ευρώ που ανακοίνωσε η κυβέρνηση για 2,4 εκατομμύρια δικαιούχους με χαμηλά εισοδήματα.
Οι δικαιούχοι του επιδόματος παιδιού που χορηγεί ο ΟΠΕΚΑ θα λάβουν το μεγαλύτερο μερίδιο του πακέτου, με 130 εκατ. ευρώ (ή το 37%).
Για τις ημερομηνίες των πληρωμών εξετάζονται δύο επιλογές:
1.Το επίδομα -δώρο να πληρωθεί πριν τις 25 Δεκεμβρίου (π.χ. ως τις 22/12) και να ακολουθήσει το τακτικό επίδομα για το 6ο δίμηνο του 2023, ως το τέλος Δεκεμβρίου.
2. Να πληρωθούν μαζί το επίδομα διμήνου και το δώρο πριν από τα Χριστούγεννα.
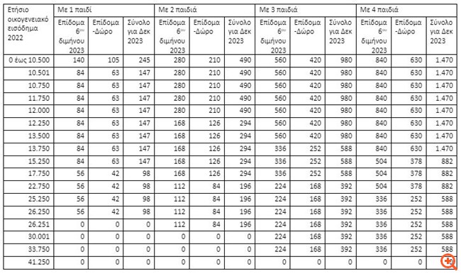
Τα ποσά που θα λάβουν οι δικαιούχοι τον Δεκέμβριο από το έκτακτο επίδομα ανάλογα με τον αριθμό των παιδιών και το οικογενειακό εισόδημα διαμορφώνονται ως εξής:
Το ποσό της ενίσχυσης αντιστοιχεί σε ενάμιση επίδομα κάθε κατηγορίας και ανέρχεται σε 105 ευρώ, ή 63 ευρώ ή 42 ευρώ για κάθε παιδί για το πρώτο και δεύτερο παιδί, και σε 210 ευρώ ή 126 ευρώ ή 84 ευρώ για το τρίτο και για κάθε επόμενο παιδί.
Αναλυτικά παραδείγματα
Για παράδειγμα, οικογένεια με 1 παιδί και δηλωθέν εισόδημα ως 10.500 ευρώ παίρνει 70 ευρώ μηνιαίο επίδομα παιδιού και δικαιούται ενάμιση επίδομα ως δώρο τον Δεκέμβριο, δηλαδή θα πάρει επιπλέον 105 ευρώ.
Τα επιδόματα πληρώνονται ανά δίμηνο, οπότε η οικογένεια θα πάρει 140 ευρώ από το επίδομα διμήνου Νοεμβρίου-Δεκεμβρίου και μαζί με τα 105 ευρώ από την επιπλέον ενίσχυση, θα πάρει συνολικά 245 ευρώ.
Από τις πληρωμές είναι πιθανό να μείνουν εκτός οι νέοι δικαιούχοι και συγκεκριμένα όσοι υπέβαλαν αίτηση Α21 τον Νοέμβριο, όπως και όσοι κάνουν αίτηση τον Δεκέμβριο (π.χ. νέοι γονείς, παλαιοί δικαιούχοι που άργησε η εκκαθάριση της φορολογικής δήλωσης κ.ά.). Για τις περιπτώσεις αυτές θα πρέπει να υπάρξει μέριμνα ώστε να πάρουν το επίδομα μεταγενέστερα.
Σύμφωνα με τον πίνακα τα ποσά του επιδόματος με το δώρο, για τους δικαιούχους γονείς ανάλογα με τον αριθμό των παιδιών και το εισόδημα, διαμορφώνονται ως εξής:
* Οικογένεια με 1 παιδί, και ετήσιο εισόδημα 10.750 ευρώ θα πάρει στην πληρωμή του Δεκεμβρίου, 84 ευρώ επίδομα 6ου διμήνου και 63 ευρώ επίδομα δώρο, δηλαδή συνολικά 147 ευρώ.
* Οικογένεια με 2 παιδιά, και ετήσιο εισόδημα 15.250 ευρώ θα πάρει 168 ευρώ επίδομα 6ου διμήνου και 126 ευρώ επίδομα δώρο, δηλαδή συνολικά 294 ευρώ.
* Οικογένεια με 3 παιδιά, και ετήσιο εισόδημα 17.750 ευρώ θα πάρει 336 ευρώ επίδομα 6ου διμήνου και 252 ευρώ επίδομα δώρο, δηλαδή συνολικά 588 ευρώ.
* Οικογένεια με 4 παιδιά, και ετήσιο εισόδημα 13.750 ευρώ θα πάρει 840 ευρώ επίδομα 6ου διμήνου και 630 ευρώ επίδομα δώρο, δηλαδή συνολικά 1.470 ευρώ.
* Οικογένεια με 4 παιδιά, και ετήσιο εισόδημα 22.750 ευρώ θα πάρει 504 ευρώ επίδομα 6ου διμήνου και 378 ευρώ επίδομα δώρο, δηλαδή συνολικά 882 ευρώ.
Οι πληρωμές με το επίδομα παιδιού 6ου διμήνου και το δώρο για 800.000 γονείς:


